الكهرومغناطيسية
يتكون المحرك الكهربائي من جزئين : الجزء الأول عبارة عن وشائع يسمى الجزء الثابت، و جزء ثاني عبارة عن مغناطيس (أو وشيعة) يقوم بحركة الدوران يسمى الدوار. و يعتمد مبدأ عمل هذين الجزئين على ظاهرة الكهرومغناطيسية
الكهرومغناطيسية هي التأثير المغناطيسي الذي ينتج عند مرور تيار كهربائي داخل سلك أو وشيعة
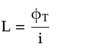
يعبر عن سعة وشيعة بالمعادلة التالية


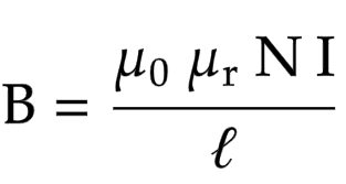
المجال المغناطيسي لوشيعة يعبر عنه بالمعادلة التالية


المجال المغناطيسي في لفة واحدة من الوشيعة يعبر عنه بالمعادلة التالية


الطاقة المخزنة داخل وشيعة هي

المحرك الكهربائي
في نموذج المحرك الكهربائي بوشائع متزامنة يتم استعمال وشائع متباعدة متصلة بتيار متناوب ثلاثي، يتم استعمال 3 وشائع، أو 6 وشائع أو 12 وشيعة… تسمى عدد أزواج الأقطاب

في المثال السابق يمر التيار المتناوب الثلاثي عبر الوشائع الثلاث بالطريقة التالية


عندما تكون
ينجذب المغناطيس نحو القطب
–
عندما تصبح
ينجذب المغناطيس نحو القطب
–
عندما تصبح
ينجذب المغناطيس نحو القطب
–
عندما تصبح
يكون المغناطيس قد أتم دورة كاملة
–
سرعة دوران المحرك ترتبط بسرعة دوران المجال المغناطيسي و يعبر عنها بالرجوع إلى تردد التيار المتناوب كما يلي


الحصيلة الطاقية
في حركة دوران جسم، يتم تعريف الشغل الزاوي (أو عزم القوة) على أنه القوة اللازمة ليقوم الجسم بحركة الدوران. و يعبر عنه بالمعادلة التالية

الشغل الزاوي

الطاقة الزاوية


يعبر عن الطاقة الكهربائية بالنسبة للتيار المتناوب الجيبي بالمعادلات التالية

بالنسبة للتيار المتناوب الجيبي الثلاثي، يعبر عن الطاقة الكهربائية بالمعادلات التالية

حصيلة الطاقة لمحرك كهربائي بوشائع متزامنة





المردود الطاقي

المفردات التقنية و مرادفاتها بالإنجليزية
Coil
وشيعة
Stator
الجزء الثابت
Rotor
الدوار
Synchronous Machine
محرك متزامن
Triphase Alternative Current
تيار متناوب ثلاثي
Moment of Power
عزم القوة
Energy Return
المردود الطاقي