المكونات غير الفعالة هي المكونات التي لا تنتج طاقة كهربائية، مهمتها فقط استقبال تلك الطاقة الكهربائية و من ثم إعادتها في وقت لاحق، أو تبديدها، أو نقلها إلى نقطة أخرى من الدارة الكهربائية. من الأمثلة المعروفة للمكونات غير الفعالة نجد المقاومة و المكثف و المستقبلات الكهربائية
مميزاتها
لا تحتاج لتغذية كهربائية : بعكس المكونات الفعالة التي تحتاج لتغذية كهربائية خاصة بها، المكونات غير الفعالة يمكن إدماجها في الدائرة الكهربائية دون الحاجة لتوصيلها بمنبع للتيار
-1
تأثير محدود على الإشارة الكهربائية : المكون غير الفعال لا يقوم بتضخيم التيار أو تغيير وجهته. مردود التيار بين طرفيه يكون دائما أصغر من 1
-2
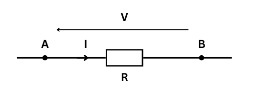
المقاومة
المقاومة الكهربائية هي مكون غير فعال يقوم بتبديد الطاقة الكهربائية على شكل طاقة جول
الطاقة المبددة داخل المقاومة ينتج عنها هبوط في شدة التوتر بقيمة
.
=
بين طرفي المقاومة


طاقة جول المبددة هي

وحدة حساب المقاومة هي الأوم و يرمز لها ب
المكثف
المكثف هو مكون كهربائي يقوم بتخزين الطاقة الكهربائية. يتكون المكثف من صفيحتين معدنيتين متقابلتين تفصل بينهما طبقة عازلة أو طبقة شبه موصلة ضعيفة التوصيل

عندما تكون
تتجمع الشحنة عند الصفيحة
. نقول أن المكثف في حالة تجميع للشحنة

عندما تصبح
تعود تلك الشحنة في الإتجاه المعاكس بعيدا عن الصفيحة
. في تلك الحالة يكون المكثف في حالة تفريغ للشحنة

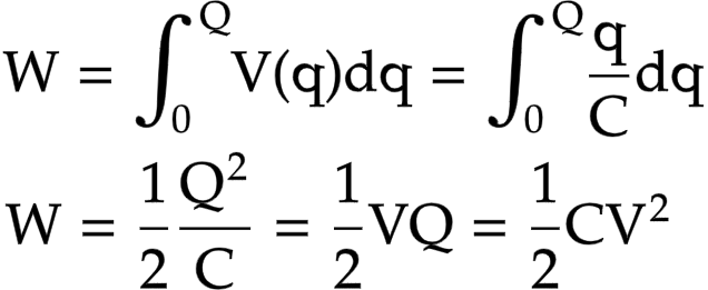
قدرة المكثف على تخزين الطاقة الكهربائية تسمى سعة المكثف
،و وحدتها هي الفاراد


الطاقة المخزنة داخل المكثف هي

الوشيعة
الوشيعة أو الملف هو مكون كهربائي يقوم بتخزين الطاقة الكهربائية على شكل مجال كهرومغناطيسي عندما يمر تيار كهربائي عبرها
يمكن تصنيف الوشيعة على أنها مكون غير فعال رغم أنها تقوم بزيادة قيمة التيار عند المخرج، ذلك لأن الربح في التيار يخضع لمعادلة خطية معروفة حسب عدد اللفات التي تتكون منها الوشيعة، وطبيعة و أبعاد السلك الذي صنعت منه و تردد الإشارة القادمة
عندما يمر تيار عبر ملف كهربائي يتكون مجال مغناطيسي يحيط بذلك الملف، هذا المجال المغناطيسي يولد تيارا كهربائيا يسمى تيار التحفيز، يتم إضافة هذا التيار إلى التيار القادم من المصدر


قدرة التحفيز في وشيعة هي نسبة التوتر إلى درجة تغير التيار بين طرفي الوشيعة

وحدة حساب قدرة التحفيز هي الهنري
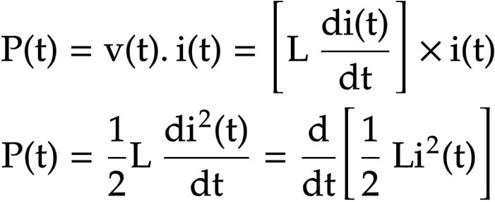
الطاقة المخزنة في وشيعة


المفردات التقنية و مرادفاتها بالإنجليزية
Passive Components
مكونات غير فعالة
Resistor
المقاومة
Capacitor
المكثف
Current Gain
مردود التيار
Joule Energy
طاقة جول
Charge
تجميع الشحنة
Discharge
تفريغ الشحنة
Capacity
سعة المكثف
Inductor
الوشيعة
Inductance
قدرة التحفيز